体外诊断试剂参考区间确定注册审查指导原则(2022年第36号)
- 2022-09-28
- 0
附件2
体外诊断试剂参考区间确定
注册审查指导原则
本指导原则旨在指导注册申请人对注册申报资料中参考区间研究资料的准备及撰写,同时也为技术审评部门审评注册申报资料提供参考。
本指导原则是对体外诊断试剂参考区间确定的一般要求,申请人应依据产品的具体特性确定其中内容是否适用,若不适用,需具体阐述理由及相应的科学依据,并依据产品的具体特性对注册申报资料的内容进行充实和细化。
本指导原则是供注册申请人和技术审评人员使用的指导文件,但不包括审评审批所涉及的行政事项,亦不作为法规强制执行,应在遵循相关法规的前提下使用本指导原则。如果有能够满足相关法规要求的其他方法,也可以采用,但应提供详细的研究资料和验证资料。
本指导原则是在现行法规、标准体系及当前认知水平下制定的,随着法规、标准体系的不断完善和科学技术的不断发展,本指导原则相关内容也将适时进行调整。
一、适用范围
本指导原则适用于定量检测体外诊断试剂参考区间的确定研究。本文主要讨论健康人群相关的参考区间,申请人也可用类似方法建立其他类型参考人群的参考区间,如其他特定生理或病理条件的参考区间。
本指导原则不适用于定性和半定量检测试剂;不适用于药物浓度监测用途的检测试剂;不适用于致病性病原体相关检测试剂;不适用于医学决定水平的确定。已经有国内公认、统一的参考区间和医学决定水平的检测项目,可不再建立参考区间,此类产品应将评估重点放在标准化方面。
本指导原则适用于进行相关产品注册和变更注册的体外诊断试剂参考区间确定,包括申报资料中的部分要求,其他未尽事宜,应当符合《体外诊断试剂注册与备案管理办法》(国家市场监督管理总局令48号)(以下简称《办法》)等相关法规要求。
二、基本原则
应按照以下情况,分别选择建立和验证的方式确定申报产品的参考区间:
1.首个申报产品(境内无同类已批准上市注册产品)
1.1境内申报产品应通过建立的方法,确定申报产品的参考区间。
1.2进口申报产品,如在境外申请人注册地或者生产地所在国家(地区)已批准上市,申请人需验证申报产品说明书载明的参考区间的适用性。如验证不通过,需建立适用于中国人群的参考区间。未在境外申请人注册地或生产地所在国家(地区)上市的创新医疗器械,应建立包含中国人群参考区间。
2.国内已有同类产品批准上市的申报产品,可选择自行建立参考区间,也可以选择验证该产品境外注册试剂说明书中的参考区间(进口注册适用),或其他国内已注册产品参考区间,但应首选注册申报中临床试验或临床评价中方法学比对时,所选择的对比试剂的参考区间进行验证。如验证通过,可直接采用经验证的参考区间;如验证不通过,应建立参考区间。
上述参考区间的验证应满足下文“(二)参考区间的验证”章节相关条件;参考区间的建立应满足下文“(一)参考区间的建立”章节相关要求。
三、技术审查要点
(一)参考区间的建立
1.参考样本组的选择
1.1制定参考个体的选择标准
筛选参考个体时,应首先确定检测项目的适用人群,除成年表观健康人外,适用时,也应考虑纳入未成年人(如评估生长发育的指标)或老年人(如评估衰老相关疾病的指标),绝经前和绝经后表观健康女性个体(如部分女性相关肿瘤标志物、骨代谢标志物等),不同月经周期女性(如性激素)等;对于特定体液样本类型,如脑脊液,可考虑将非相关病理人群的特定评估指标作为参考个体的筛选标准。应根据申报产品个性化定义“表观健康”,评估可能的生理及病理影响因素,据此设定明确的纳入、排除标准。应依据纳入、排除标准设计参考个体调查问卷,并采取必要的措施保证问卷填写的准确、客观。
综上,针对不同检测项目参考个体的排除标准也不尽相同,表1中列出应予以考虑的部分排除因素,申请人应根据检测项目的不同,增加或减少排除标准。
表1 参考个体选择应考虑的排除因素
饮酒 | 妊娠或哺乳期 | 血压异常 |
肥胖 | 近期或既往疾病 | 献血 |
吸烟 | 维生素滥用 | 近期外科手术 |
环境因素 | 药物滥用 | 饮食情况(如素食、节食) |
遗传因素 | 特殊职业 | 药物(处方、非处方及避孕药) |
剧烈运动 | 近期输血史 | 近期住院或正在住院治疗 |
1.2制定参考个体的分组标准
根据所筛选参考个体的特征,考虑其是否对临床决策具有意义等情况,对其进行分组。研究者应根据检测项目的不同,合理设计分组条件。潜在分组条件可以是年龄、性别、血型、种族、昼夜节律、饮食、吸烟、运动、月经周期、妊娠阶段、采样时间、地理位置、职业等因素。
1.3 参考个体的选择
参考个体选择时,应按照明确的标准采用直接抽样的方式进行选择。参考个体应尽可能接近检测项目的临床患者分布组成,尽可能涵盖各年龄组内不同年龄段,且男女个体数量应相当(适用时),地域选择应具有代表性。参考个体分布特征应尽量接近社区人群分布。注册申请人根据产品特点设计纳入、排除标准,将符合标准的具有人群代表性的个体纳入参考人群。建议通过多中心招募的形式纳入参考人群。
2.样本采集与处理
2.1参考个体准备
参考个体的状态指对检测项目结果具有影响的状态。样本采集前进食会对许多检测项目有直接(浓度改变)或间接(脂类物质干扰)的影响,长期节食也会造成许多检测指标的改变。另外,咖啡因、酒精、香烟和维生素C等,也会对许多检测项目的检测结果产生影响。因此,应该对参考个体各项可能产生影响的因素(表2)进行评价,保证状态良好方可进行样本的采集。
表2 参考个体的状态因素
先前的饮食 | 禁食或非禁食 | 药物戒断 | 生物节奏和采样时间 |
药物摄取 | 身体活动 | 压力 | 采样前的休息时期 |
2.2样本的采集、处理和储存
影响参考样本采集、处理和储存的因素包括采样环境、采样时间、采样体位、样本类型、运送方式、样本状态、样本分离、储存方式等。申请人应采用符合说明书声称要求的样本进行参考区间研究,并在研究报告中详细说明样本类型、储存方式等情况。如检测采用血液样本,应区分动脉血、静脉血及毛细血管血;如需使用抗凝剂,需明确抗凝剂的类型;如采集尿液样本应明确取样时间段(如适用)。
3.样本检测
应采用检测系统进行参考样本的检测。检测系统包括样本处理用产品、检测试剂、校准品、质控品、检测设备等。
4.数据分析
依据临床意义的不同,参考区间研究需要确定检测项目的单侧界值或双侧界值。通常使用双侧2.5%~97.5%人群分布,单侧时可选择95%或5%。
4.1参考样本数量
研究至少需要120例参考样本,此时可对参考限的90%置信区间进行准确估计。参考限的置信区间不同,所需参考样本量也不尽相同,具体见表3。如需分组评估,则每组均需要满足相应置信区间的参考样本量要求。如有离群值,则应在剔除离群值后补足相应参考样本例数。
表3 95%参考区间的不同置信区间最少样本数量
参考限的置信区间 | 样本数量 |
90% | 120 |
95% | 146 |
99% | 210 |
4.2绘制分布图
绘制分布图用以了解数据分布特征,并对数据进行审查。
为了解数据的分布特性,需对数据是否呈正态分布进行判断,即数据对称性和正态峰的判断。数据对称性和正态峰的判断可通过直方图、正态概率图,或采用假设检验的方法进行综合判断,常用的假设检验方法有矩法、W检验法、KS检验法等。
4.3数据离群值的判断
申请人应采用合理的统计分析方法进行离群值的判定。此处推荐两种方法:
4.3.1 Dixon方法(适用于非正态分布数据)
4.3.1.1在参考值检测数据中,如果有疑似离群数据,应将疑似离群值的检测结果和其相邻值的差D和数据(包含疑似离群值)全距R相除,若D/R≥1/3考虑为离群值。
4.3.1.2若同侧有2个或以上疑似离群点,可从最小的疑似离群点起作如上处理,若D/R都大于1/3,则所有疑似点都定义为离群值;若D/R都小于1/3,则保留所有疑似数据。
4.3.2 Tukey法(适用于正态分布数据)
4.3.2.1 计算数据集的四分位数,定义为Q3(75%分位数)和Q1(25%分位数)。计算四分位间距,定义为IQR(Q3-Q1)。将大于四分位间距上限:Q3+1.5×IQR或小于四分位间距下限:Q1-1.5×IQR的参考值定义为离群值。
4.3.3如出现离群值,应对离群值产生原因进行分析,如果有明确的原因,如检测时操作错误等,可将离群值剔除,如无明确原因,应将该数据保留。
4.4数据分组
数据是否需要分组,需根据参考区间分组是否对临床决策具有意义或检测项目具有明确的生理学意义,且必须对不同亚组之间的差别进行统计学假设检验,检验结果应显示差异有统计学意义。
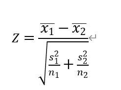
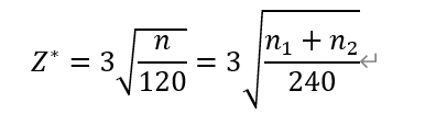
申请人应结合数据分布特征选择适当的统计假设方法进行数据分组判定。如数据呈正态分布,申请人可采用Z检验,确定分组后的均值间差异有无统计上的显著性。
Z值计算公式:

Z判断限值(Z*)公式:

式中,

s1 ——第一组参考值的标准差
s2 ——第二组参考值的标准差
n1——第一组参考值的数量
n2 ——第二组参考值的数量
n——平均样本量
如s2>1.5s1或s2/(s2-s1)<3时,可以考虑分组;如计算Z值超过Z*时,也可考虑成分组。
4.5建立参考区间
依据数据分布特征,计算参考区间的常用方法包括参数法和非参数法。
4.5.1经正态性检验后,如参考值数据近似正态分布或检测数据经变量转换后呈正态分布,可采用正态分布法确定参考区间,样本量要求见表3。用该方法确定的参考区间所得结果稳定,受两端数据影响较小。
可采用下述公式进行参考区间的计算:
双侧1-α参考区间:`X±Z1-α/2S
单侧1-α参考区间:>`X -Z1-αS或<`X+Z1-αS
式中`X为均数,S为标准差。
4.5.2经正态性检验后,如参考值数据呈偏态分布,可采用百分位数法(非参数法)确定参考区间,样本量要求见表3。该方法受两端数据影响较大,样本含量较小时结果不稳定、不宜选用。将n个参考个体检测值按照从小到大的顺序排列,并依次编上秩次。把n个秩次分为100等分,与r%秩次对应的数称为第r百分位数,用Pr表示。分别计算参考值下限r1(2.5百分位数)和参考值上限r2(97.5百分位数)作为检测项目的95%参考区间。还需计算参考限的90%或95%置信区间。若r值计算值不是整数,可将它们四舍五入后取整。
(二)参考区间的验证
1.验证条件
采用验证的方法确定申报试剂参考区间时,需要满足以下条件:第一,原始参考区间的研究应系统全面,具有可信性,如已发布实施的临床检测参考区间标准等;第二,检测系统需具有可比性;第三,参考区间研究的分析前因素需具有可比性,如参考个体的状态,标本采集和处理程序等; 第四,参考人群的适宜性。原始参考区间研究所采用的参考人群应在人群分布的地理位置、人口统计学特征等方面与申报试剂预期适用人群相一致,或包含符合参考区间建立参考样本数量要求的上述参考人群。如不能同时满足上述条件,申请人需按照前文所述方法建立自己的参考区间。
申请人应通过方法学比对的方法,对申报产品与原始参考区间建立时的检测系统的可比性进行研究。方法学比对研究方法,可参考《免于临床试验的体外诊断试剂临床评价技术指导原则》(国家药品监督管理局2021第74号公告)。注意两检测系统检测结果应具有高度一致性。申请人应通过列表的方式,对比参考人群分布的地理位置、生物特征、参考区间研究分析前的因素等。
2.参考区间的验证
申请人应选择至少20例与申报产品预期使用人群地理分布和人口统计学特征相似的参考个体,在具有与原始参考区间研究一致的分析前因素和相同的检测条件下,研究小样本人群的参考值。比较小样本参考值和原始参考区间之间的可比性。如果20例参考个体中只有不超过2例的参考值超出原始参考区间,即通过验证,可以直接使用原始参考区间。如参考个体多于20例,则超出原始参考区间的数据不超过检测结果的10%,即通过验证;若有10%以上的数据超出原始参考区间,则应另选至少20例参考个体,重新按照上述判断标准进行验证。若参考区间验证使用了其他参考界值,则对应的验证标准需满足统计学要求的。若验证结果符合要求,可直接使用原始参考区间,反之则应检查所有的分析程序,考虑样本是否有生物学差异,并按照前文所述方法建立自己的参考区间。
在统计学上,随着样本量的增加,利用统计原理发现人群差异的能力更强。因此,申请人可以加大参考个体的样本量,如采用60例样本,并将测得的参考值与原始参考区间比较,判断参考值和原始参考区间之间是否具有可比性。
(三)说明书
申请人应在说明书【参考区间】中载明经研究确定的参考区间。此部分内容应包含参考区间确定的基本信息,包括:样本量、参考人群特征(如性别、年龄、种族等)和参考区间确定采用的统计学方法。
四、其他应注意的问题
无论是建立自己的参考区间或验证参考区间,都要确保参考区间的可溯源性,记录确定参考区间的所有步骤,包括参考个体的选择、分析前因素、样本检测以及统计分析方法等。
五、名词解释
1.参考个体(reference individual):根据明确标准选择出进行实验的个体。通常是符合特定标准的健康个体。
2. 参考人群(reference population):由所有参考个体组成的群体。
注:通常情况下参考人群中的个体数是未知的,因此参考人群是一个假设实体。
3.参考样本组(reference sample group):从参考人群中选出的用以代表参考人群的足够数量的个体。
4.参考值(reference value):通过对参考个体某一特定量进行观察或测量而得到的值(检验结果)。
5.参考分布(reference distribution):一组参考值的分布。
6.参考限(reference limit):源自参考值的分布,用于描述部分参考值的位置(小于或等于、大于或等于、上限/下限)。
7.参考区间(reference interval):来自生物参考人群的数值的特定分布区间。
注:在有些情况下,只有一端的生物学参考界限是重要的,通常是上限“x”,相应的参考区间将是小于或等于“x”。
六、参考文献
[1] GB/T 29791.1-2013,体外诊断医疗器械制造商提供的信息(标示)第1部分:术语、定义和通用要求[S].
[2] CLSI. Defining, Establishing, and Verifying Reference Intervals in the Clinical Laboratory; Approved Guideline—Third Edition. CLSI document EP28-A3c. Wayne, PA: Clinical and Laboratory Standards Institute; 2010.
[3] WS/T 402-2012,临床实验室检验项目参考区间的制定[S].
[4] WS/T 780-2021,儿童临床常用生化检验项目参考区间[S].









网站首页
法规&指南
一键拨打